喜报
2024年11月20日
我校物理科学与工程学院唐爱伟教授
作为共同通讯作者
在《Nature》在线发表重要成果
在绿色InP基 QD-LED材料与器件领域
取得重大突破

该研究成果2024年11月20日以“Efficient green InP-based QD-LED by controlling electron injection and leakage”为题发表在《Nature》上(DOI:10.1038/s41586-024-08197-z)。
我校物理科学与工程学院唐爱伟教授课题组与河南大学申怀彬教授课题组和中国科学技术大学樊逢佳教授课题组合作,我校与河南大学联合培养的博士研究生卞阳阳为共同第一作者,唐爱伟教授是该论文的共同通讯作者。
这是一项怎样的研究?
交交通通这就为大家介绍——
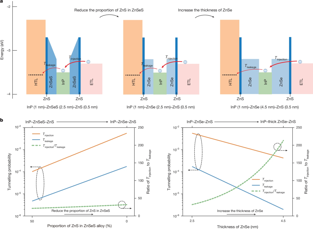
LED显示照明是我国的支柱半导体产业,加快新兴显示照明LED研究,对于加强并保持我国的产业竞争有重要的意义。基于半导体量子点的电致发光器件(QD-LED)具有色域更广、色纯度更高、能耗更低等优势,有望在超高清显示屏和高端照明等领域得到广泛应用。InP基量子点电致发光器件更是由于其环境友好的特点备受产业界青睐。相较于红色和蓝色器件,三基色之一的绿色InP基QD-LED的效率和寿命成为制约全彩QD-LED商业化进程的关键瓶颈。


为解决这一问题,唐爱伟教授课题组与国内同行合作,提出并发展了新型大尺寸、高量子产率InP/ZnSe/ZnS核壳结构量子点的合成和结构调控方法,通过厚ZnSe中间壳层的包覆,同时实现了电子注入提升和电子泄漏抑制,成功构筑了峰值外量子效率(EQE)达到26.68%,亮度达到270,000 cd m-2,1,000 cdm-2初始亮度下T95寿命长达1,241 h的绿色InP基QD-LED,刷新了世界纪录。

本研究揭示了绿色InP基QD-LED效率低下的关键原因,并提供了有效的解决方案,同时实现了电子注入提升和电子泄漏抑制,也为高性能QD-LED的设计提供了新思路。该研究得到了北京市自然科学基金重点研究专题(Z220007)等项目的支持。


唐爱伟
北京交通大学
物理科学与工程学院教授
博士生导师
现任物理科学与工程学院院长
主要从事环保型量子点发光材料与器件方面的研究工作。目前主持和完成多项国家自然科学基金、北京市自然科学基金重点项目等国家和省部级项目。在Nature, Adv. Mater., Nano. Lett.等国际知名学术期刊上发表学术论文150余篇,获得授权国家发明专利4项。曾入选北京交通大学首批卓越百人计划,获得北京交通大学五四青年奖章、北京交通大学优秀主讲教师称号等。
论文链接:
https://www.nature.com/articles/s41586-024-08197-z
为实现高水平科技自立自强
推进强国建设、民族复兴历史伟业
贡献交大智慧!
来源 | 北京交通大学官方微信
编辑 | 雷子轩