2025年11月10日-2025年11月16日北京商业演出信息新鲜“出炉”!
2025-11-12 15:13 来源:  北京号
关注

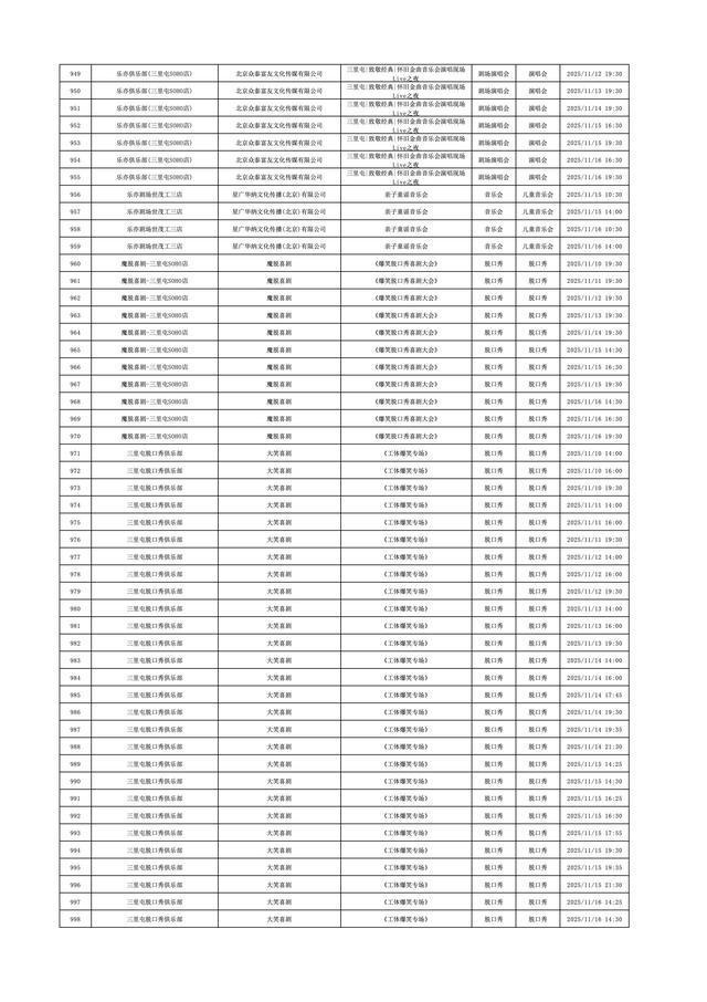
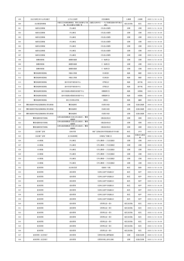
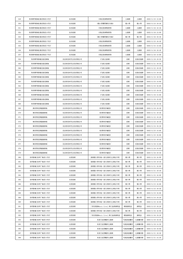
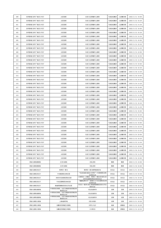
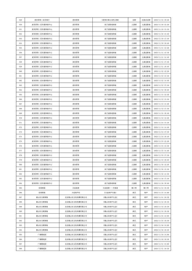
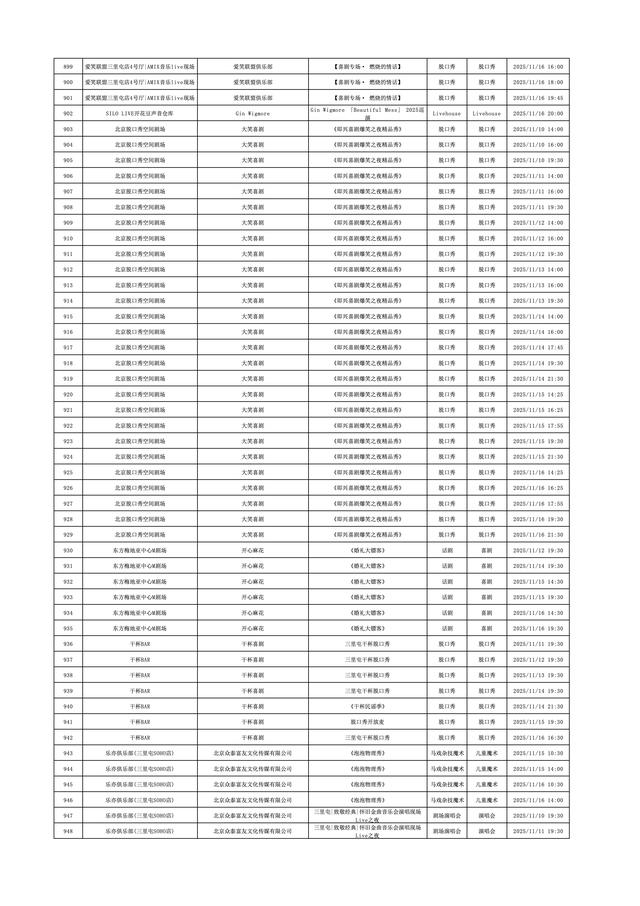
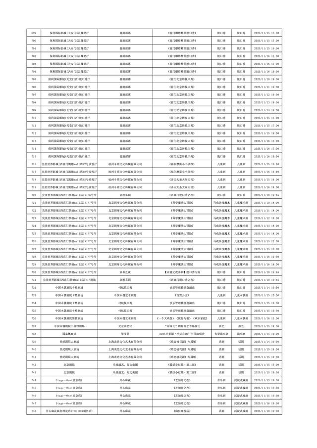
2025年11月10日-2025年11月16日北京商业演出信息新鲜“出炉”!话剧、喜剧、京剧、昆曲、北京曲剧、音乐剧、儿童舞台剧、儿童亲子剧、儿童木偶剧、儿童音乐剧、儿童剧、儿童魔术剧、儿童杂技、沉浸式戏剧、沉浸式喜剧、音乐会、演唱会、Livehouse、芭蕾舞剧、相声、评书、鼓曲、曲艺、二人转、脱口秀、综艺、杂技等一大波精彩演出来了,你想看的全都有,安排起来!


作者:

文旅北京


打开APP阅读全文
特别声明:本文为北京日报新媒体平台“北京号”作者上传并发布,仅代表作者观点,北京日报仅提供信息发布平台。未经许可,不得转载。